Tree diversity and regeneration patterns along stand-age gradients in the Swayambhu sacred forest

Abstract

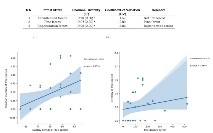
Sacred or religious forests are one of the most important but difficult to manage forest types due to high human interferences. The Swayambhu Religious Forest was selected for this study. This sacred forest was divided into three strata based on the stand age, considering the species composition, including established forests, generally comprising broadleaved species (old forests), emerging forests or young (10 years or above) forests, generally dominated by pine trees five years or above, and regeneration forest (newly established, less than five years of age, with a few scattered trees, by using the stratified systematic sampling method for data collection from 29 circular sample plots established in the forest. The Permutation-based ANOVA test showed significant variation in tree diversity and regeneration diversity among the three forest strata, but the Shannon diversity index was higher in the broadleaved forest in comparison to the regeneration and pine forests. The Spearman correlation analysis showed positive correlations in canopy density and Shannon diversity, tree diversity and regeneration diversity, and tree density and regeneration diversity of tree species, but there was no strong positive correlation between tree density and Shannon diversity. There was a negative correlation between canopy density and regeneration diversity, demanding canopy opening to promote natural regeneration of the forest. Both regeneration diversity and tree diversity were higher in the broadleaved forest, where anthropogenic disturbance was moderate, with 10 of the 14 tree species regenerating. The study showed a decline in richness of species diversity by age of forest.

Publication
Forestry (Journal of Institute of Forestry, Nepal), Volume 21, pp. 87-99
Click the Cite button above to import publication metadata into your reference management software.
Sanjeeb Bhattarai
Sanjeeb Bhattarai
Assistant Professor

I’m an Assistant Professor at Institute of Forestry (IOF), Tribhuvan University (TU); interested in socio-ecological systems, data science and their intersections. I’m most passionate about developing data science tools and practices to understand complex socio-ecological systems, and translating data into informative visualizations.